EIDOS Audyty Fotowoltaika Czyste Powietrze Termomodernizacja
  • audyt
  • fotowoltaika
  • czyste powietrze
  • blog
  • newsletter
  • EIDOS
Zaznacz stronę

elektrownia fotowoltaiczna równanie mocy i powierzchni

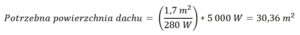
Fotowoltaiczne równenia na powierzchnię dachu dla paneli o określonej mocy

OFERTA

  • Darmowa porada
  • Oferta

Ostatnie wpisy (blog/aktualności)

  • Nie przepłacaj za energię elektryczną w domu – pobierz poradnik
  • Program „Mój elektryk”
  • Ruszył długo wyczekiwany nowy program „Moje Ciepło”.

Doradzamy

https://youtu.be/AMLFVOOe0Lk

PV w WIMED

https://youtu.be/3IfRBv1yusU

EIDOS Niezależni Doradcy Energetyczni - strona główna

    Realizacja i wsparcie: abami agencja

    Ta strona używa ciasteczek (cookies), dzięki którym nasz serwis może działać lepiej. Rozumiem, zgadzam się dowiedz się więcej
    Informacja o cookies i prywatności

    Privacy Overview

    This website uses cookies to improve your experience while you navigate through the website. Out of these, the cookies that are categorized as necessary are stored on your browser as they are essential for the working of basic functionalities of the website. We also use third-party cookies that help us analyze and understand how you use this website. These cookies will be stored in your browser only with your consent. You also have the option to opt-out of these cookies. But opting out of some of these cookies may affect your browsing experience.
    Necessary
    Always Enabled
    Necessary cookies are absolutely essential for the website to function properly. This category only includes cookies that ensures basic functionalities and security features of the website. These cookies do not store any personal information.
    Non-necessary
    Any cookies that may not be particularly necessary for the website to function and is used specifically to collect user personal data via analytics, ads, other embedded contents are termed as non-necessary cookies. It is mandatory to procure user consent prior to running these cookies on your website.
    SAVE & ACCEPT